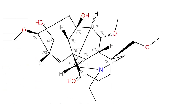
Neoline

Molecular Structure:    
  • Cat. #:    APC-1730
  • Product:    Neoline
  • CAS No.:    466-26-2
  • Molecular Formula:    C24H39NO6
  • Molecular Weight:    437.6 g/mol
  • Specification:    98% min by HPLC
  • Packing:    10mg, 20mg, 50mg, 100mg, 500mg, 1g, 5g, 10g
  • Availability:    In stock
  • Biological Activity:    Inhibitor; LD₅₀=150mg/KG(Mus musculus)
    Product References:     Neoline | 466-26-2 | In Stock | Aktin Chemicals Inc
 
Inquiry Online Now  or
By email: info@aktinchem.com
By Phone: (86)28-85159085